Simplexity Quest

Inversion of Control Patterns

2024-07-10

Managing complexity is one of the hardest problems in developing software systems. Luckily, with Inversion of Control we have a powerful tool at our disposal. However, I find that it’s not generally well understood and people tend to shy away from it. Let’s talk about where you’d even use it: Architectural boundaries.

An architectural boundary lets you cut a software system into two parts where one doesn’t know about the other and is thus not going to be affected by changes to it. Boundaries are the only thing that can decouple local complexity from global complexity. If you want to make large software systems easy to work with, you’ll want to have them.

A visual way to describe boundaries is as lines you draw in an architecture diagram that are only crossed by dependencies in one direction.

The arrows represent “depends on” relationships. The bottom partition of the architecture is independent of the top and will thus not be affected by changes to it.

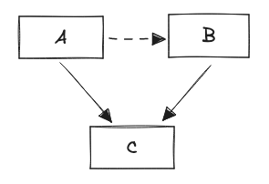
This restriction of unidirectionality can not generally be imposed on control flow though. The control flow in the same application may look like this:

Here, the control flow crosses the boundary in both directions. Changing that would change the semantics of the application.

We need a way to have dependencies that oppose the direction of control flow. That’s where Inversion of Control comes in.

Patterns

Note that the kind of dependency we care about here is a static reference.

Solid arrows are dependencies, dashed arrows are control flow.

No Inversion

A calls into B and depends statically on it.

A depends on B, A calls into B.
# a.rb

require 'b'

def do_something()

  # ...

  b.do_something_else()

end

➡️ Great default

Full Decoupling

A calls into B without any static dependency between the two.

A and B depend on C, A calls into B.
# a.rb

require 'c'

def do_something()

  # ...

  c.thing_was_done()

end
# b.rb

require 'c'

def initialize()

  c.register(self)

end
# c.rb

def thing_was_done(payload)

  listeners.each do |listener|

    listener.thing_was_done(payload)

  end

end

➡️ Use only when you need to achieve very low coupling

Plugin Mechanism

A calls into B, but A doesn’t statically depend on B.

A calls into B, but B depends on A.
# a.rb

def do_something()

  # ...

  thing_was_done()

end

def thing_was_done()

  listeners.each do |listener|

    listener.thing_was_done()

  end

end
# b.rb

require 'a'

def initialize()

  a.register(self)

end

def thing_was_done()

  # ...

end

➡️ The cheapest way to establish a boundary with bidirectional control flow

Caveats

Inversion of control does obscure the control flow to a degree. While the call stack is preserved in exceptions, traces and logs since everything still happens synchronously in-process, “who calls who” is a lot less obvious from reading the code.

Therefore, we shouldn’t aim to resolve all boundary violations through Inversion of Control; often there are more straightforward solutions. But Inversion of Control is a useful tool that should be applied in some cases, and it serves well to illustrate the advantages of unidirectional boundaries.